|
Как получить сертификат, если нет экзамена? |
Методы и модели оперативно-производственного планирования на предприятии
5.3. Методы определения дохода цеха основного производства и производственных возможностей систем машин
Модель формирования и распределения дохода основного цеха
Применяемые на практике показатели планирования и оценки результатов производственно-хозяйственной деятельности цехов основного производства характеризуются широкой номенклатурой. Это обусловлено воздействием различных факторов. Создать условия для реализации принципа соизмерения затрат и результатов весьма сложно. Это требует одновременного ведения работ по линии совершенствования системы учета и построения систем хозяйствования, в которых такой показатель, как доход цеха, мог бы использоваться в качестве ключевого для оценки работы подразделения. Одним из важных достижений последнего периода развития экономики, которое необходимо сохранить и использовать, состоит в том, что в систему внутрипроизводственного расчета введен новый элемент - коммерческий (хозрасчетный) доход, с помощью которого удается имитировать товарно-денежные отношения в подразделениях предприятия. За счет этого удалось не только формально ослабить различия в хозяйственном расчете предприятия и его звеньев, но и значительно повысить эффективность хозяйствования в цехах и производственных структурах низового уровня.
Представим один из наиболее приемлемых вариантов определения дохода цеха. Это будет пример построения модели хозяйствования в реальных условиях производства для цеха основного производства.
Модель хозяйствования использует внутрицеховые цены и позволяет количественно измерить объем созданного цехом результата производства с учетом воздействий на него большинства элементов затрат.
Рассмотрим элементы, которые включает модель.
- Нормативная внутрицеховая цена i-го изделия, исчисляемая по формуле
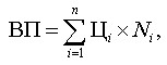
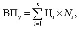
где Цi - нормативная внутрицеховая цена i-го изделия в стоимостном выражении; Ti - трудоемкость i-го изделия в комплектных нормо-часах; Н0 - суммарный норматив оплаты комплектного нормо-часа в рублях; Мi - материальные затраты i-го изделия в рублях; kp - 1,05-1,10 - коэффициент, учитывающий необходимость создания финансового резерва в новых условиях хозяйствования. - Общий объем продукции цеха в стоимостном выражении, определяемый по формуле
- Доход цеха, который определяется следующим образом:
где ДЦ - доход цеха за период, в течение которого произведен объем товарной продукции, руб.; РСЭО, ЦР - соответственно расходы на содержание и эксплуатацию оборудования и цеховые расходы за вычетом заработной платы и отчислений на социальные нужды, руб.; М - затраты на материалы по основным заказам, руб.; Ш - полученные (уплаченные) штрафы, пени, неустойки, руб. - Частные нормативы, которые рассчитываются по формулам:
где ФОТП - плановый фонд оплаты труда; ТП и ТФ - соответственно плановый и фактический объемы продукции в комплектных нормо-часах; П - сумма разовых премий из прибыли предприятия, выделенная цеху за 12 месяцев, предшествующих переходу на новую модель хозяйствования; РСЭОП и ЦРП - соответственно плановые расходы на содержание и эксплуатацию оборудования и цеховые расходы за вычетом заработной платы и отчислений на социальные нужды. В связи с постоянным изменением цен и инфляцией модель можно упростить, исключив стоимость материалов, подверженную наибольшим колебаниям. В этом случае формулы преобразуются следующим образом:
Преобразованная модель хозяйствования нуждается в некоторых пояснениях и оценках, которые позволят понять ее особенности, преимущества и недостатки, а также соеринтироваться в вопросах о том, где модель можно применить целиком, для каких условий она неприемлема и в каких случаях ее применение требует доработки (изменений и дополнений).
Схема формирования и распределения дохода цеха (см. рис. 5.1) демонстрирует первую особенность модели. Из схемы видно, что доход цеха представляет собой часть валового дохода, оставшуюся в распоряжении коллектива и предназначенную для его материального вознаграждения. Величина валового дохода зависит от конечных результатов деятельности цеха, в том числе от рационального использования учитываемых ресурсов.
Вторая особенность касается методики расчета внутрицеховой цены изделия. Она определяется не методом прямого счета, что более предпочтительно с точки зрения точности, а косвенно, по формуле (5.7). Поэтому следует иметь в виду, что внутрицеховая цена предназначена для расчетных целей. В связи с тем, что в формуле (5.7) два множителя (Но и kр) являются постоянными величинами, внутрицеховая цена становится зависимой только от нормативной трудоемкости изделия по цеху.
Среди других особенностей следует обратить внимание на то, что модель хозяйствования допускает увеличение внутрицеховой цены за счет использования коэффициента, необходимого для создания финансового резерва. Применение этого коэффициента должно носить временный характер (не более года). Конкретная величина этого периода должна устанавливаться в Положении о новой форме хозяйствования цеха. Заслуживает внимания также прием, с помощью которого в цене изделия учтена прибыль. Она является нормативной величиной и рассчитывается по формуле (5.6). Очевидно, могут быть и другие подходы.
Главное достоинство модели состоит в том, что она базируется на доходе цеха и за счет этого позволяет объективно оценивать эффективность хозяйствования в цехе. Существенным преимуществом модели также является охват сравнительно широкого круга затрат на производство продукции, именно тех, расход и экономия которых зависят от самого цеха. Из структуры формулы (5.9) видно, что естественная заинтересованность в увеличении дохода цеха ориентирует коллектив на увеличение объемов продукции и сокращение затрат на ее производство.
Организация хозяйственной деятельности на основе этой модели сохраняет объективно сложившиеся технологические связи. В этом отношении она более предпочтительна, чем организация дочерних предприятий на базе отдельных цехов, которая представляет большую хозяйственную самостоятельность, но в значительной мере ослабляет технологические связи.
Еще одним преимуществом данной модели является то, что она позволяет перейти от цены изделия к цене комплектного нормо-часа. Это упрощает систему расчетов и делает более удобной передачу деталей для обработки из одного цеха в другой.
Среди недостатков можно отметить следующие: усложнение учета; недостаточная обоснованность величины коэффициента, образующего финансовый резерв (kр); определение цены изделия без учета стоимости материалов. Со снижением уровня инфляции постепенно устраняется и причина, породившая последний недостаток.
Рассмотренные вопросы показывают, что конструирование моделей хозяйствования требует творческого подхода, и перенос отработанной модели с одного объекта на другой всегда сопряжен с ее доработками. Так, например, при использовании рассмотренной модели хозяйствования в механосборочных цехах понадобится дополнительно включить в трудоемкость изделия комплектные нормо-часы, приходящиеся на сборку машин. При использовании модели в заготовительных и других цехах потребуются более существенные изменения. Главное - не потерять ведущий элемент модели, в роли которого выступает доход цеха.





