| Россия, Москва |
Задача нелинейного разделения двух классов
Выделение выпуклых областей
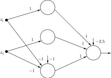
Серьезное ограничение разделяющих поверхностей однослойными сетями можно преодолеть, добавив дополнительные слои. Например, двухслойные сети, получаемые каскадным соединением однослойных сетей, способны выполнять более общие классификации, отделяя точки, содержащиеся в выпуклых ограниченных и неограниченных областях. Область выпуклая, если для каждых двух её точек соединяющий их отрезок целиком лежит в области. Область ограничена, если её можно заключить в некоторый шар.
Выше приведен пример выделения выпуклой области двумя
гиперплоскостями (реализация функции
ИСКЛЮЧАЮЩЕЕ ИЛИ). Аналогично в первом слое может быть использовано
3 нейрона с дальнейшим
разбиением плоскости и созданием области треугольной формы (на рис. 3, 4,
, входы с нулевыми
весами не указаны).
Включением достаточного числа нейронов во входной слой может быть образован выпуклый многоугольник (многогранник) желаемой формы. Так как такие многогранники образованы с помощью операций И над областями, задаваемыми разделяющими линиями (гиперплоскостями единичной размерности), то все они выпуклы.

