|
Здравствуйте! Записался на ваш курс, но не понимаю как произвести оплату. Надо ли писать заявление и, если да, то куда отправлять? как я получу диплом о профессиональной переподготовке? |
Свойства атомов и категории функций
Представление структуры списка
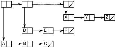
В машине списки хранятся не как последовательности символов, а как структурные формы, построенные из машинных слов как частей деревьев, подобно записям в Паскале при реализации односвязных списков. При изображении структуры списка машинное слово рисуется как прямоугольник, разделенный на две части: адрес и декремент
Каждая из частей занимает фиксированное число разрядов, представляющее тэг и адрес. Если декремент слова "x" указывает на слово "y", то это можно выразить стрелками на схеме:
Теперь можно дать правило представления S-выражений в машине. Представление атомов будет пояснено ниже. В тех случаях, когда машинное слово в адресе или декременте содержит указатель на атом, данный атом отобразится как запись в соответствующем прямоугольнике:
Правило представления неатомных S-выражений — начало со слова, содержащего указатель на car выражения в адресе и указатель на cdr в декременте. Ниже нарисовано несколько схем S-выражений. По соглашению NIL обозначается как перечеркнутый по диагонали прямоугольник.
вместо (A . B).
Непосредственная польза от сопоставления графического вида с представлением списков в памяти поясняется при рассмотрении функций, работающих со списками, на следующем примере из [1]:
((M . N) X (M . N))
Возможное для списков использование общих фрагментов ((M . N) X (M . N)) может быть представлено графически:
В точности такую структуру непосредственно текстом представить невозможно, но ее можно построить с помощью одного из выражений выражений:
(LET ((a '(M . N))) (SETQ b (LIST a 'X a)) ) ((LAMBDA (a) (LIST a 'X a) )'(M . N))
Циклические списки обычно не поддерживаются. Такие списки не могут быть введены псевдо-функцией read, однако они могут возникнуть как результат вычисления некоторых функций, точнее, применения структуроразрушающих или деструктивных функций. Печатное изображение таких списков имеет неограниченную длину. Например, структура
может распечатываться как ( A B C A B C ... ).
Преимущества структур списков для хранения S-выражений в памяти:
- Размер и даже число выражений, с которыми программа будет иметь дело, можно не предсказывать. Кроме того, можно не организовать для размещения выражений блоки памяти фиксированной длины.
- Ячейки можно переносить в список свободной памяти, как только исчезнет необходимость в них. Даже возврат одной ячейки в список имеет значение, но если выражения хранятся линейно, то организовать использование лишнего или освободившегося пространства из блоков ячеек трудно.
- Выражения, являющиеся продолжением нескольких выражений, могут быть предоставлены только однажды.
Ниже следует простой пример, иллюстрирующий точность построения структур списка. Показаны два типа структур списка и описаны на Лиспе функции для преобразования одного типа в другой.
Предполагается, что дан список вида
L1 = ((A B C)(D E F ) ... (X Y Z))
представленный как
и нужно построить список вида
L2 = ((A (B C))(D (E F)) ... (X (Y Z)))
представленный как
Рассмотрим типичную подструктуру (A (B C)) второго списка.
Она может быть построена из A, B и C с помощью
(CONS 'A (CONS (CONS 'B (CONS 'C NIL)) NIL))
или, используя функцию list, можно то же самое записать как
(LIST 'A (LIST 'B 'C))
В любом случае дан список x из трех атомов x = (A B C), аргументы A, B и C, используемые в предыдущем построении, можно найти как
A = (CAR x) B = (CADR x) C = (CADDR x)
Первый шаг в получении L2 из L1 — это определение функции GRP, строящей (X (Y Z)) из списка вида (X Y Z).
(GRP x) = (LIST (CAR x) (LIST (CADR x) (CADDR x)))
Здесь GRP применяется к списку L1 в предположении, что L1 заданного вида.
Для достижения цели новая функция MLTGRP определяется как
(MLTGRP L) = (COND ((NULL L) NIL)
(T (CONS (GRP (CAR L)) (MLTGRP (CDR L)) )))Итак, MLTGRP, применяемая к списку L1, перебирает (X Y Z) по очереди и применяет к ним GRP, чтобы установить их новую форму (X (Y Z)) до тех пор, пока не завершится список L1 и не построится новый список L2.










